La catálisis es el proceso por el cual cambia la velocidad de una reacción química a causa de una sustancia llamada catalizador y permite obtener productos de alto valor agregado por medio del desarrollo y aplicación de nuevos catalizadores, y a la vez permite el aprovechamiento de subproductos y desechos.
A partir del proceso de producción de biodiesel, jabones y otros, se obtiene glicerol como subproducto en exceso. Es por esto por lo que, a lo largo de los años se ha buscado cómo emplearlo. Gracias a su estructura química, el glicerol puede transformarse en diversos productos de valor agregado a través de reacciones químicas con diferentes condiciones de proceso.
Por medio de la catálisis y rutas químicas como deshidratación, hidratación, hidrogenólisis, deshidrogenación e hidrogenación, y condiciones específicas de temperatura, presión, flujos, presencia de gases como hidrógeno y nitrógeno, presencia de catalizador, entre otras, el glicerol puede sufrir la conversión hacia productos como la hidroxiacetona, piruvaldehído, ácido láctico, lactida, y muchos otros.
El glicerol se usa ampliamente en una variedad de productos de cuidado personal, que incluyen dentífrico, acondicionadores para el cabello, cosméticos y humectantes, entre otros.

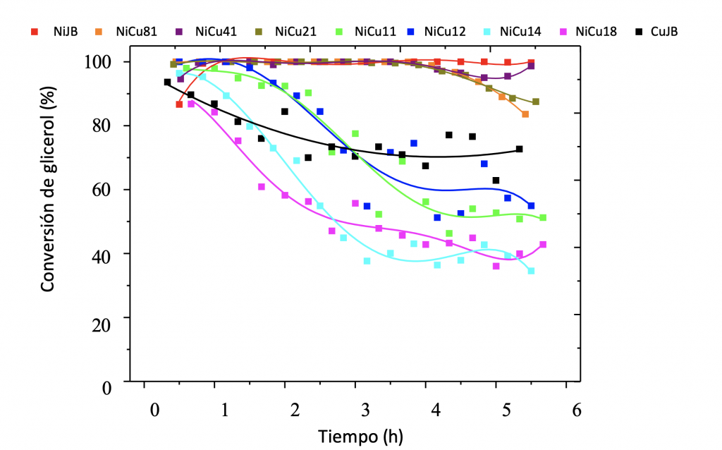
Por ejemplo, en la Figura 1 se observa la conversión de glicerol lograda con catalizadores de níquel y cobre sobre gama alúmina:

Figura 1. Conversión de glicerol versus tiempo de reacción. Crédito: Bárbara Miranda Morales
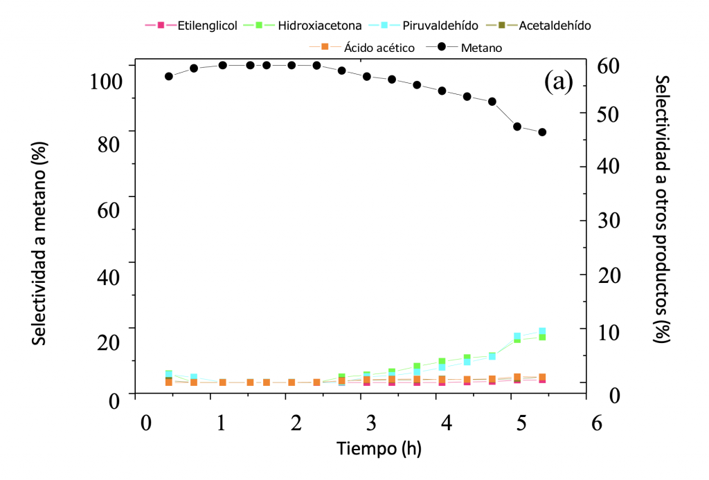
En la Figura 1 se observa que con los catalizadores con mayor proporción de níquel como el NiJB, NiCu81, NiCu41, y NiCu21 se logra una conversión del 100 % del glicerol. Mientras que, con los catalizadores con mayor proporción de cobre, la conversión baja hasta valores de 40 %. Por otra parte, en la Figura 2 se muestra la selectividad obtenida de diferentes productos con estos mismos catalizadores.
La Figura 2(a) es para el catalizador NiCu81, es decir, con una mayor proporción de níquel, y se obtiene mayoritariamente metano como producto. Esto se puede deber a que el níquel rompe enlaces carbono-carbono llevando a producir compuestos de cadena corta. En el caso del catalizador NiCu18 (Figura 2(b)), éste tiene mayor proporción de cobre y se observa que favorece la formación de hidroxiacetona, lactida y piruvaldehído mayoritariamente, esto debido a que el cobre rompe enlaces carbono-oxígeno y no enlaces carbono-carbono, por lo que la selectividad de metano cae a cero en este caso. Estos productos se suelen emplear en diversas industrias como la farmacéutica, alimentaria, cosmética, entre otras. Es muy importante mencionar que en la formación de estos productos también contribuyen las propiedades del soporte, en este caso el soporte usado fue gama alúmina la cual tiene sitios de acidez fuerte y una alta área superficial.


Figura 2. Selectividad obtenida con los catalizadores (a) NiCu81 y (b) NiCu18 Crédito: Bárbara Miranda Morales
Esta aplicación evidencia la importancia de la catálisis y el desarrollo de nuevos catalizadores que permitan obtener productos a través de rutas no petroquímicas que contribuyan a disminuir la contaminación generada al ambiente.
Sobre la autora:
Obtuvo su título de licenciatura en Ingeniería Química en la Universidad de Costa Rica. Posteriormente, obtuvo su doctorado en la Universidad Rovira I Virgili en el programa de Ingeniería Química, Ambiental y de Procesos con la investigación enfocada en catálisis heterogénea y aprovechamiento de subproductos. Docente Universidad de Costa Rica e invitada por la Universidad de Cuenca.
Enlaces de interés: https://multimedia.cedia.edu.ec/category/ceciras/avante-xi/catalisis- heterogenea-en-quimica-verde-preparacion-caracterizacion-y-aplicaciones-de-catalizadores- solidos-para-la-valorizacion-de-recursos-y-la-remediacion-ambiental/page/2/
Bibliografía revisada:
B.C. Miranda, R.J. Chimentão, J. Szanyi, A.H. Braga, J.B.O. Santos, F. Gispert-Guirado, J. Llorca, F. Medina. Influence of copper on nickel-based catalysts in the conversion of glycerol.
Applied Catalysis B: Environmental, 166–167, 2015, 166-180. ISSN 0926-3373, https://doi.org/10.1016/j.apcatb.2014.11.019.
